
TCDD 7 İlde 52 Arsayı Satışa Çıkardı
Türkiye Cumhuriyeti Devlet Demiryolları; Adana, Gaziantep, Konya, Mersin, Kahramanmaraş, Hatay ve Niğde'de 52 adet taşınmazı açık artırmayla satışa çıkardı. İhalesi 18 aralıkta gerçekleşecek.
Türkiye Cumhuriyeti Devlet Demiryolları; Adana, Gaziantep, Konya, Mersin, Kahramanmaraş, Hatay ve Niğde'de 52 adet taşınmazı açık artırmayla satışa çıkardı.
TCDD GENEL MÜDÜRLÜĞÜ
6.BÖLGE MÜDÜRLÜĞÜN’DEN
Mülkiyeti Teşekkülümüze ait
-
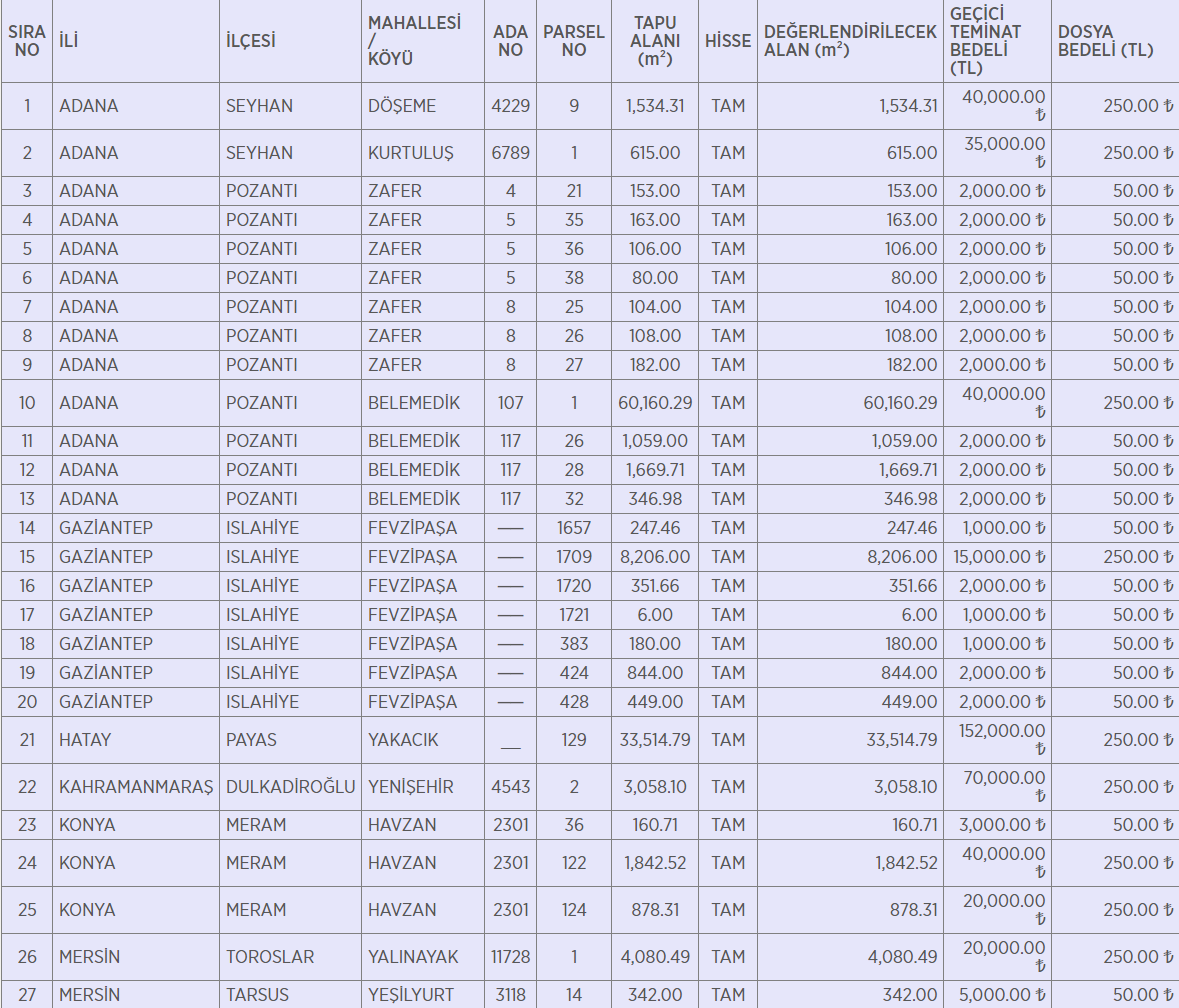
Adana İli, Seyhan İlçesi, Döşeme Mahallesi sınırları içerisinde bulunan 1 adet taşınmaz, Kurtuluş Mahallesi sınırları içerisinde bulunan 1 adet taşınmaz ile Pozantı İlçesi, Zafer Mahallesi sınırları içerisinde bulunan 7 adet taşınmaz ve Belemedik Mahallesinde bulunan 4 adet taşınmaz,
-
Gaziantep İli, İslahiye İlçesi, Fevzipaşa Mahallesinde kayıtlı toplam 7 adet taşınmaz,
-
Hatay İli, Payas İlçesi, Yakacık Mahallesinde kayıtlı 1 adet taşınmaz,
-
Kahramanmaraş İli, Dulkadiroğlu İlçesi, Yenişehir Mahallesinde kayıtlı 1 adet taşınmaz,
-
Konya İli, Meram İlçesi, Havzan Mahallesinde kayıtlı 3 adet taşınmaz,
-
Mersin İli, Toroslar İlçesi, Yalınayak Mahallesi sınırları içerisinde bulunan 1 adet taşınmaz ile Tarsus İlçesi, Yeşilyurt Mahallesi sınırları içerisinde bulunan 2 adet taşınmaz,
-
Niğde İli, Ulukışla İlçesi, Beyağıl Mahallesi sınırları içerisinde bulunan 22 adet taşınmaz ile Tekneçukur Mahallesi sınırları içerisinde bulunan 2 adet taşınmaz olmak üzere,
Toplamda 52 adet taşınmaz 18.12.2019 tarihinde 4046 Sayılı Yasa kapsamında ihale ile satılacaktır.
-
Satış İhalesi, kapalı zarfla teklif almak ve görüşmeler yapmak suretiyle 18.12.2019 Çarşamba günü ve saat 10.00’da TCDD 6.Bölge Müdürlüğü Yazlık Lokalde, “Pazarlık Usulü” ile yapılacaktır. İhale Komisyonu’nca gerek görülmesi halinde, ihale, pazarlık görüşmesine devam edilen teklif sahiplerinin katılımı ile açık artırma suretiyle sonuçlandırılabilecektir.
-
İhale konusu parsellere ait teminat miktarları ekli listede belirtilmiştir.
-
Teklifler, İhalelerin yapılacağı tarihten bir önceki gün olan 17.12.2019 Salı günü saat 17.00’ye kadar TCDD 6.Bölge Müdürlüğü Emlak Müdürlüğüne elden teslim edilecektir. Belirtilen tarih ve saatten sonra verilecek teklifler değerlendirilmeyecektir.
-
TCDD Genel Müdürlüğü ihale işlemlerini 4046 sayılı Kanun çerçevesinde yürütmektedir. Özelleştirme işlemleri 2886 sayılı İhale Kanunu ile 4734 sayılı Kamu İhale Kanunu’na tabi olmayıp, TCDD, ihaleyi yapıp yapmamakta, dilediğine yapmakta, teklif verme süresini belirli bir tarihe kadar veya bilahare belirlenecek bir tarihe kadar uzatmakta serbesttir.
-
İhale dokümanları, ekli listede belirtilen dosya bedellerinin TCDD 6.Bölge Müdürlüğü’nün Türkiye Vakıflar Bankası Adana Merkez şubesinde bulunan TR 50 0001 5001 5800 7272 1157 17 no.lu hesabına yatırılarak, üstünde teklif sahibinin adı veya unvanının da açıkça belirtildiği dekont karşılığında TCDD 6. Bölge Müdürlüğü Emlak Müdürlüğünden temin edilebilir.








HABERE YORUM KAT
Türkçe karakter kullanılmayan ve büyük harflerle yazılmış yorumlar onaylanmamaktadır.