
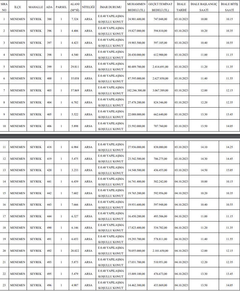
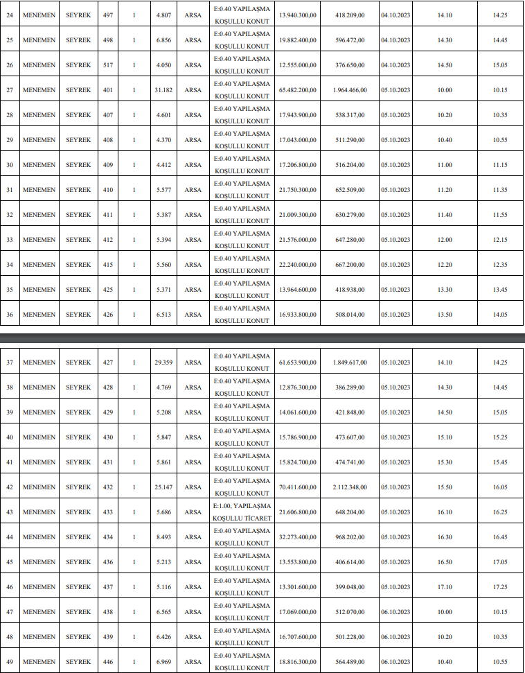
Menemen Belediyesi'nden 1 Milyar 647 Milyon TL'ye Satılık 65 Arsa
Menemen Belediye Başkanlığı, Villakent'te bulunan 65 adet arsayı kapalı teklif usulüyle satışa çıkardı. 0.40 emsal konut imarlı arsaların toplam satış bedeli 1 milyar 647 milyon TL olarak belirlendi.
Menemen Belediye Başkanlığı, Villakent'te bulunan 65 adet arsayı kapalı teklif usulüyle satışa çıkardı. 0.40 emsal konut imarlı arsaların toplam satış bedeli 1 milyar 647 milyon TL olarak belirlendi.
İzmir İli Menemen Belediye Başkanlığından:



Yukarıda nitelikleri belirtilen mülkiyeti Belediyemize ait 65 adet taşınmaz 2886 sayılı Devlet İhale Kanunu'nun 35 (a) maddesi kapalı teklif usulü ile kapalı teklif ihale hükümleri uygulanarak satılacaktır.
1. İhaleler, Camiikebir Mah. Şehit Kemal Caddesi No:1 adresinde bulunan Menemen Belediyesi Meclis Salonunda Belediye Encümeni tarafından yukarıda belirtilen tarih ve saatlerde yapılacaktır.
2. Taşınmaz Mal Satış Şartnamesi ve ekleri çalışma saatleri içerisinde İzmir İli Menemen ilçesi Camiikebir Mah. Şehit Kemal Caddesi No:1 adresindeki Menemen Belediyesi Binasında Emlak ve İstimlâk Müdürlüğünden 1.500,00-TL ücret karşılığında temin edinilebilir.
3. İhaleyi yapıp -yapmamakta ve uygun bedeli tespitte Belediye encümeni tamamen serbesttir.
4. Muhammen bedeller, geçici teminat bedelleri ve ihale tarih ve saati yukarıda belirtilmiştir.
5. İhaleye katılacak isteklilerin ihale başlangıç tarihinden bir mesai günü önce 03.10.2023 tarihindeki ihaleler için en geç 02.10.2023 Pazartesi günü saat 15.00, 04.10.2023 tarihindeki ihaleler için en geç 03.10.2023 Salı günü saat: 15:00, 05.10.2023 tarihindeki ihaleler için en geç 04.10.2023 Çarşamba günü saat:15:00, 06.10.2023 tarihindeki ihaleler için en geç 05.10.2023 Perşembe günü saat:15:00’a kadar teklif zarflarını Camiikebir Mah. Şehit Kemal Caddesi No:1Menemen /İzmir adresinde bulunan belediyemizin Emlak ve İstimlâk Müdürlüğüne vermeleri şarttır. Belirtilen saatten sonra gelen teklifler ve posta ile başvurulması halinde postadaki gecikmeler kabul edilmeyecektir.
6. İhaleler sonucunda ihalede en yüksek teklifi vererek ihaleyi kazanan alıcılar 2886 sayılı Kanunun 32. maddesi ve Belediyemiz tarafından ilan edilen şartnameye uygun olarak tebliğ tarihinden itibaren 15 (onbeş) gün içinde, Belediyenin hesap numaralarına ve/veya Belediyemiz veznesine nakit olarak yatırması gerekmektedir.
7. İhale bedelini 15 (onbeş) gün içerisinde ödemeyen alıcıya herhangi bir tebligat veya bildirime gerek duyulmadan ihale kararı kaldırılır ve geçici teminat iade edilmez, gelir kaydedilir.
8. 2886 sayılı Devlet İhale Kanunu’nun 40. maddesine göre, Geçerli en yüksek teklifin altında olmamak üzere, oturumda hazır bulunan isteklilerden sözlü veya yazılı teklif alınmak suretiyle ihale sonuçlandırılır. Ancak Komisyon, uygun gördüğü her aşamada oturumda hazır bulunan isteklilerden yazılı son tekliflerini alarak ihaleyi sonuçlandırabilir. Bu husus, ihale komisyonunca ikinci bir tutanakla tespit edilir. 9. İsteklilerin ihaleye katılabilmeleri için istenen belgeler:
9.1. Dilekçe,
9.2. Tebligat için adres beyanı,
9.3. Taşınmaz Mal Satış Şartnamesi Alındı Makbuzu,
9.4. Yatırmış olduğu geçici teminat makbuzunun aslı veya banka teminat mektubu.(Teminat mektubu verilmesi halinde teminat mektubunun süresiz ve limit içi olması gerekmektedir.)
9.5. İhaleye katılamayacak olanlar, yasak fiil ve davranışlar ve ihale dışı bırakılma koşulları taşımadığına dair taahhütname.
9.6. Gerçek kişi olması halinde:
9.6.1. Nüfus Cüzdan Fotokopisi veya Sürücü Belgesi Fotokopisi (TC Kimlik Numaralı),
9.6.2. İmza beyannamesi,
9.7. Tüzel kişi olması halinde:
9.7.1. İlgisine göre tüzel kişiliğin ortakları, üyeleri veya kurucuları ile tüzel kişiliğin yönetimdeki görevlileri belirtilen son durumu gösterir Ticaret Sicili Gazetesi veya bu hususları tevsik eden belgeler,
9.7.2. Ticaret ve/veya Sanayi Odasından ihaleye ilişkin ilanın yapıldığı yıl içerisinde alınmış belge,
9.7.3. Tüzel kişiliğin imza sirküleri,
9.8. Usulüne uygun teklif mektubunu içeren iç zarf,
9.9. İstekliler adına vekâleten iştirak ediliyor ise, istekli adına ihaleye katılan kişinin ihaleye katılmaya ilişkin Noter tasdikli vekâletnamesi ile Noter tasdikli imza beyannamesi,
9.10. Ortak girişim olması halinde ortak girişim beyannamesi,
9.11. İhale dokümanı içinde bulunan “İhale şartnamesini okudum ve şartnamede yazılı hususların tamamını olduğu gibi kabul ve taahhüt ederim. Her çeşit Tebligat aşağıdaki adresime yapılabilir” taahhütnamesi.
9.12. İzmir İli Menemen ilçesi Camiikebir Mah. Şehit Kemal Caddesi No:1 adresindeki Menemen Belediyesi Binasında Emlak ve İstimlâk Müdürlüğü İcra Tahakkuk Biriminden alınacak olan Menemen Belediyesine herhangi bir borcu olmadığına dair belge.
a) Adres : Camiikebir Mahallesi Şehit Kemal Caddesi No:1 Menemen/ İZMİR
b) Tel : 444 80 08
İlan olunur.






HABERE YORUM KAT
Türkçe karakter kullanılmayan ve büyük harflerle yazılmış yorumlar onaylanmamaktadır.