
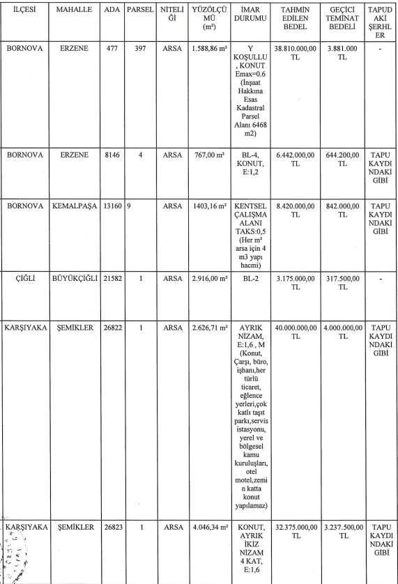
İzmir Büyükşehir'den 129 Milyon TL'ye Satılık 6 Arsa!
İzmir Büyükşehir Belediye Başkanlığı; Karşıyaka, Bornova ve Çiğli'de yer alan 6 adet imarlı arsayı satışa çıkardı. Kapalı teklif usulü ile satışa sunulan imarlı arsaların muhammen bedeli 129 milyon 222 Bin TL olarak belirlendi.
A+A-
İzmir Büyükşehir Belediye Başkanlığı; Karşıyaka, Bornova ve Çiğli'de yer alan 6 adet imarlı arsayı satışa çıkardı. Kapalı teklif usulü ile satışa sunulan imarlı arsaların muhammen bedeli 129 milyon 222 Bin TL olarak belirlendi. Arsaya teklif vermek isteyen yatırımcıların tekliflerini en geç 10 kasım tarihi saat 12:00'a kadar iletmeleri gerekiyor.







HABERE YORUM KAT
Türkçe karakter kullanılmayan ve büyük harflerle yazılmış yorumlar onaylanmamaktadır.