
Erzurum Büyükşehir Belediyesi'nden 251 Milyon TL'ye Satılık 70 Arsa
Erzurum Büyükşehir Belediyesi mülkiyetindeki 70 adet arsayı 251 milyon 470 bin TL muhammen bedelle satışa çıkardı. Arsaların satış ihalesi 21 ağustosta yapılacak.
Erzurum Büyükşehir Belediyesi mülkiyetindeki 70 adet arsayı 251 milyon 470 bin TL muhammen bedelle satışa çıkardı. Yakutiye ve Palandöken ileçelerinde konumlanan arsaların satış ihalesi 21 ağustosta yapılacak.
Erzurum Büyükşehir Belediye Başkanlığından:
Mülkiyeti Erzurum Büyükşehir Belediyesine ait aşağıda mahalle, Ada, Parsel, Mesahası ve niteliği açık şekilde belirtilen arsaların satış ihalesi 28/08/2018 Salı günü saat 14:00 da 2886 sayılı Devlet İhale Kanununun 35/a maddesine istinaden Kapalı Teklif usulü ile Büyükşehir Belediyesi Encümen salonunda yapılacaktır.
Söz konusu arsaların tahmin edilen (muhammen) satış bedelleri, ihalenin geçici teminat bedelleri aşağıda belirtilmiştir.
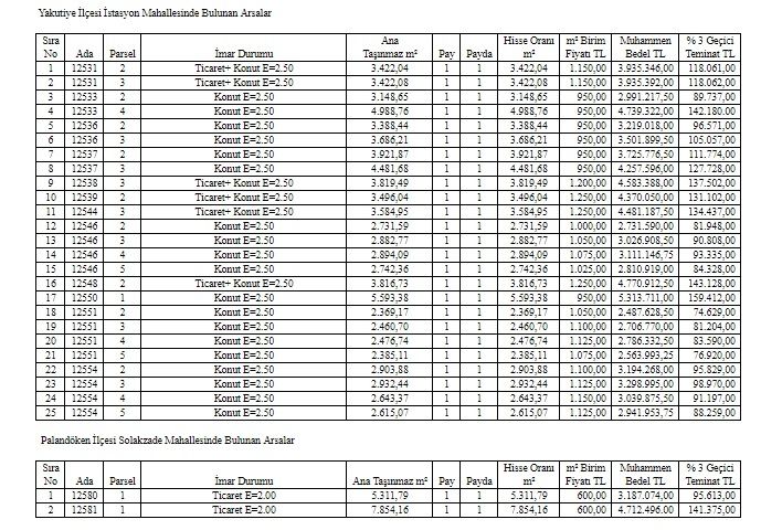
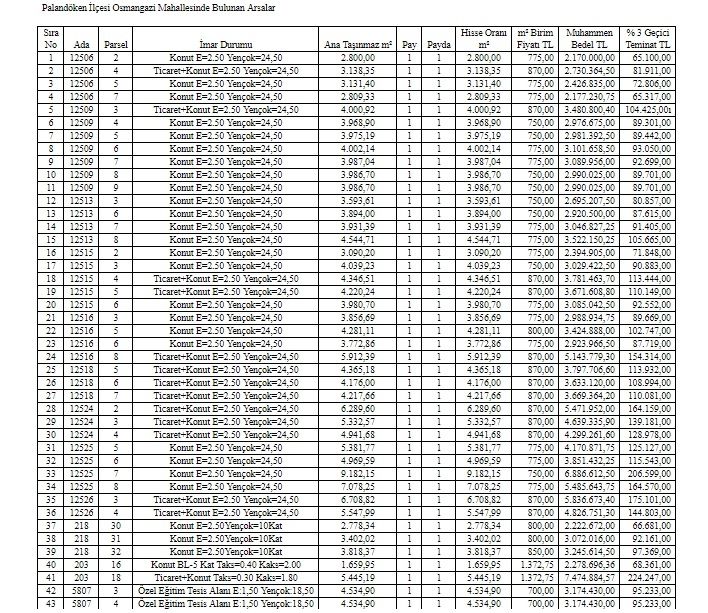
Yakutiye İlçesi İstasyon Mahallesinde Bulunan Arsalar

Arsaların satış bedelinin % 50’si ve satış-sözleşme masraflarının tamamı peşin, satış bedelinin kalan % 50’si ise 20 ay eşit taksit ile ödemesi yapılacaktır. Şartname bedelleri 300,00 TL’dir.
İhale zarflarını aşağıda ve şartnamesinde istenilen belgeler ile birlikte sırasına uygun olarak hazırlanarak kapalı zarf içerisinde ihale komisyonuna iletilmek üzere Emlak ve İstimlak Daire Başkanlığı Emlak Şube Müdürlüğüne 28/08/2018 Salı günü saat 13:45’e kadar teslim edilebilir.
İHALEYE KATILMAK İSTEYEN İSTEKLİLERDE ARANACAK ŞARTLAR
1 - Teklif Mektubu (Şartname eklerinde örneği mevcut)
2 - Kanuni ikametgâh sahibi olmak.
3 - Tebligat için Türkiye’ de adres göstermek.
4 - Gerçek veya Tüzel kişi olması halinde noter tasdikli İmza sirküleri veya imza beyannamesi ve kimlik fotokopisi.
5 - İstekliler adına vekâleten ihaleye katılım var ise, istekli adına teklifte bulunacak kişilerin vekâletnameleri ile birlikte vekâleten iştirak edenin noter tasdikli imza sirküleri veya imza beyannamesi.
6 - Büyükşehir Belediyesi Emlak ve İstimlâk Dairesi Başkanlığından temin edilecek (Emlak, ESKİ, Hukuk vb.) ilişiksiz belgesi.
7 - Erzurum Büyükşehir Belediyesi adına alınmış muhammen (tahmin edilen) bedelin %3’ü kadar geçici teminat alındı makbuzu veya limit dâhili süresiz teyitli Banka Geçici Teminat mektubu. 2886 Sayılı Yasaya göre aranacaktır.
8 - Ortak girişim olması halinde noter tasdikli ortak girişim beyannamesi (ihalenin üzerinde kalması halinde ortaklarca noterden imzalanmış ortaklık sözleşmesi) her biri ortaklar tarafından ayrı ayrı sunulacaktır.
9 - Şartname bedelinin yatırıldığına dair makbuz.
10 - Şartname bedeli ve ekleri ücreti mukabilinde Emlak ve İstimlâk Dairesi Başkanlığı. Emlak Şube Müdürlüğünden temin edilebilir veya ücretsiz görülebilir.
11 - İdare ihaleyi yapıp yapmamakta, onaylayıp onaylamamakta ve uygun bedeli tespitte serbesttir.
12 - 2886 Sayılı Devlet İhale Kanununa göre ihalelere katılmaktan yasaklı olanlar, bu ihaleye katılamazlar.
13 - Tüzel kişi olması halinde bağlı olduğu ticaret ve sanayi odasından alınacak Faaliyet yetki belgesi, Oda sicil kayıt sureti, İhale durum ve men ceza belgesi
14 - Her türlü vergi, resim, harç ve sözleşme giderleri ihale üzerinde kalan yükleniciye aittir.
15 - Telgraf ve faks ile yapılacak müracaatlar ve postada meydana gelebilecek gecikmeler kabul edilmeyecektir.
İlan olunur.






HABERE YORUM KAT
Türkçe karakter kullanılmayan ve büyük harflerle yazılmış yorumlar onaylanmamaktadır.