
Milli Emlak İzmir'de 85 Daireyi Satışa Çıkardı! Fiyatlar 285 Bin TL'den Başlıyor
İzmir Çevre ve Şehircilik İl Müdürlüğü Milli Emlak Dairesi Başkanlığı, Bayraklı, Karşıyaka, Gaziemir, Karabağlar ve Balçova'da 85 konutu açık artırmayla satışa çıkardı. Satışa çıkan evlerin fiyatları 285 bin TL ile 730 bin TL arasında değişiyor.
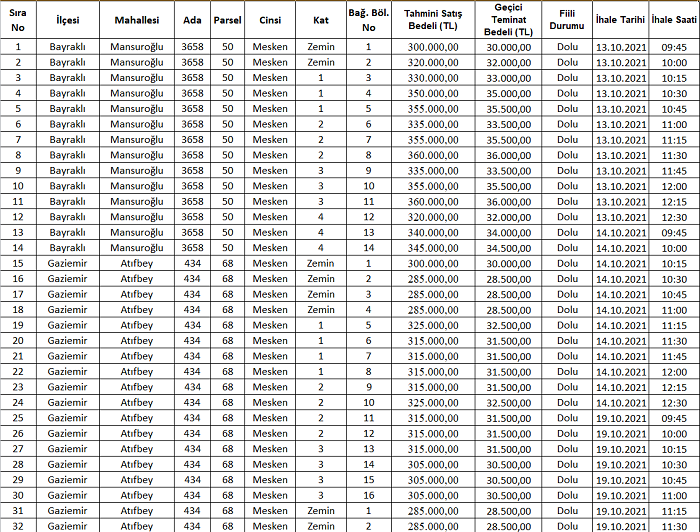
İzmir Çevre ve Şehircilik İl Müdürlüğü Milli Emlak Dairesi Başkanlığı, Bayraklı, Karşıyaka ve Gaziemir'deki 85 konutu açık artırmayla satışa çıkardı. Satışa çıkan evlerin fiyatları 285 bin TL ile 730 bin TL arasında değişiyor. İhalesi 13-14-19-20-21-26-27 Ekim tarihlerinde gerçekleşecek.



1- Yukarıdaki tabloda belirtilen taşınmazların 2886 sayılı Kanunun 45. maddesine göre satış ihaleleri Çevre ve Şehircilik İl Müdürlüğü Ek Binası Anadolu Caddesi 41/2 Bayraklı/İZMİR adresindeki binasının giriş katında bulunan ihale salonunda komisyon huzurunda belirtilen gün ve saatte yapılacaktır.
2- Satış ihaleleri yapılacak taşınmazlara ilişkin şartname ve ekleri Konak Emlak Müdürlüğünde ücretsiz olarak görülebilir.
3- İhaleye katılacak isteklilerin aşağıda belirtilen belgeleri ihale başlama saatine kadar İhale Komisyon Başkanlığına teslim etmeleri veya iadeli taahhütlü posta yoluyla ulaştırmaları gerekmekte olup, posta ile yapılacak müracatlarda teklifin 2886 D.İ.K 37 inci maddesine uygun olarak hazırlanması ve teklifin ihale saatinden önce komisyona ulaşması şarttır, postada meydana gelecek gecikmeler kabul edilmeyecektir.
a) Gerçek kişilerin; Yasal yerleşim yeri belgesini (İkametgah ilmuhaberi) ile Nüfus kayıt örneği veya arkalı-önlü nüfus cüzdanı fotokopisinin,
b) Özel hukuk tüzel kişilerinin, yukarıda belirtilen şartlardan ayrı olarak, idare merkezlerinin bulunduğu yer mahkemesinden veya siciline kayıtlı bulunduğu ticaret veya sanayi odasından yahut benzeri meslekî kuruluştan, ihalenin yapıldığı yıl içinde alınmış sicil kayıt belgesi ile tüzel kişilik adına ihaleye katılacak veya teklifte bulunacak kişilerin tüzel kişiliği temsile tam yetkili olduklarını gösterir noterlikçe tasdik edilmiş imza sirkülerini veya vekâletnameyi vermeleri; kamu tüzel kişilerinin ise, yukarıdaki (b) ve (d) bentlerinde belirtilen şartlardan ayrı olarak tüzel kişilik adına ihaleye katılacak veya teklifte bulunacak kişilerin tüzel kişiliği temsile yetkili olduğunu belirtir belge.
c) Geçici Teminata ilişkin belge (Geçici Teminat Makbuzu, Mevduat veya Katılım Bankalarının verecekleri 2886 sayılı Devlet İhale Kanununa göre düzenlenmiş ve İlgili Banka şubesince verilen teminat mektupları toplamı ile aynı şubenin limitlerinin de gösterildiği süresiz Teminat Mektubu, Devlet İç Borçlanma Senetleri veya bu senetler yerine düzenlenen belgeler),İhale saatine kadar Komisyon Başkanlığına verilmesi gerekmektedir.
"4-a) Toprak Mahsulleri Ofisi, PTT ile Milli Piyango İdaresine ait olan tolam 85 adet lojmanın satış işlemi 3065 sayılı Katma Değer Vergisi Kanunu uyarınca KDV'ye tabi olup, ihale bedeli üzerinden alıcıdan ayrıca KDV tahsilatı yapılacaktır. b-) Kanuni tapu alım ve satım harcı alıcı ve mülkiyet sahibi idareye ait olup, diğer her türlü vergi, resim, harçlar alıcıdan tahsil edilecektir."
5- (1) Kat mülkiyeti veya kat irtifakı kurulan kamu konutlarından ihalenin yapıldığı tarihte; adlarına görev, sıra ve hizmet tahsisli kamu konutu tahsis edilen (şartlı tahsisler dahil) ve fiilen konutta oturanlar öncelikli alım hakkına sahiptir.
(2) Öncelikli alım hakkı sahibinin kamu konutunu satın almak istemediğini bildirmesi, süresi içerisinde herhangi bir bildirimde bulunmaması ya da yükümlülüklerini yerine getirmemesi halinde, en yüksek teklifi veren istekli tarafından satış bedeli peşin veya Kanunun 5 inci maddesinin birinci fıkrasında belirtilen şekilde en az dörtte biri peşin, kalanı en fazla iki yılda ve taksitlerle kanunî faizi ile birlikte ödenebilir.
(3) Öncelikli alım hakkı sahibinin; kamu konutunu satın almak istemesi ve süresi içerisinde satış bedelini peşin olarak ödemesi veya peşinatı ödeyerek Taksitli Satış Sözleşmesini imzalaması halinde bu durum İhalede en yüksek teklifi veren isteklisine bildirilir.
(4) Bedelin yetkili kredi kuruluşlarından kredi temin edilerek ödenmek istenilmesi halinde, alıcı tarafından kredi kuruluşu ile yapılan kredi sözleşmesi veya kredi açıldığına dair kredi kuruluşunun resmî yazısı verilir ve kredi kuruluşu tarafından bedel ilgili muhasebe biriminde açılacak emanet hesabına aktarılması halinde İdarece, tapu müdürlüklerine kredi kuruluşu lehine ipotek tesis edilmesi ve alıcı adına tescil işleminin yapılması hususu yazıyla bildirilir. "
6- Listedeki DOLU olarak belirtilen bağımsız bölümlerde öncelikli alım hakkına sahip fiilen oturanlar bulunmakla birlikte, ihale metninin 16,17,18,20,21,24,25,33,34,35,36,37,38,42,46,48,49,52,53,54,57 ve 60. sırasında yer alan konutlarda öncelikli alım hakkı bulunmamaktadır. Detaylı bilgi Konak Emlak Müdürlüğünden alınabilir.
7-İhaleye iştirak edecek isteklilerin ihale salonu ile İdare binasının içinde ve çevresinde Covid-19 tedbirleri gereğince maske kullanmaları ve sosyal mesafe kurallarına uymaları önem arz etmektedir.
8- Komisyon ihaleyi yapıp yapmamakta serbesttir.
9- Bu ihaleye ilişkin bilgiler www.izmir.csb.gov.tr. adresinden öğrenilebileceği gibi, Türkiye genelindeki ihale bilgileri www.milliemlak.gov.tr adresinden de öğrenilebilir.
BİLGİ İÇİN İLETİŞİM TELEFONU : (232) 341 68 00
İLAN OLUNUR.






HABERE YORUM KAT
Türkçe karakter kullanılmayan ve büyük harflerle yazılmış yorumlar onaylanmamaktadır.