
SGK’dan İzmir’de 2 Milyar TL’lik Dev Satış
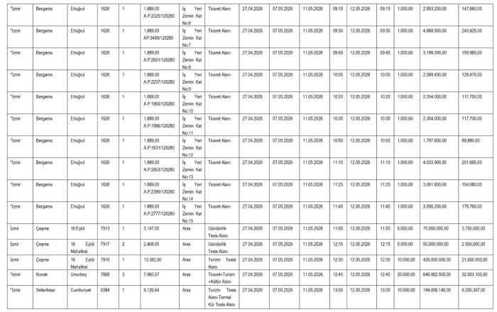
Sosyal Güvenlik Kurumu, İzmir’de aralarında Bayraklı, Bergama, Çeşme ve Konak’ın da bulunduğu 22 arsayı yaklaşık 2 Milyar TL’ye satışa çıkardı. İhaleler 24 ve 27 Nisan tarihlerinde yapılacak
A+A-
Sosyal Güvenlik Kurumu (SGK), Türkiye genelinde elinde bulundurduğu yüzlerce taşınmazı satışa çıkardı. SGK’nın İzmir’de satışa çıkardığı taşınmazların çoğu arsa niteliğinde. Toplam 1.927.882.260 TL’yi bulan taşınmazlar; Konak, Bergama, Bayraklı ve Çeşme’de yer alıyor. Taşınmazların satış ihalesi ise 24 ve 27 Nisan tarihlerimde yapılacak.


İhaleler için detaylı bilgiye https://www.resmigazete.gov.tr/ilanlar/eskiilanlar/2026/04/20260414-3-9.pdf linkinden ulaşabilirsiniz.





HABERE YORUM KAT
Türkçe karakter kullanılmayan ve büyük harflerle yazılmış yorumlar onaylanmamaktadır.