
İzmir Defterdarlığı'ndan Satılık 57 Arsa
İzmir Defterdarlığı Milli Emlak Daire Başkanlığı Buca, Konak, Torbalı, Bayındır ve Menemen ilçesinde bulunan 59 adet arsayı satışa çıkardı. Konut, Küçük sanayi sitesi ve ticari imarlı arsaların satışının gerçekleşeceği ihale 25-29 eylül tarihleri arasında
İzmir Defterdarlığı Milli Emlak Daire Başkanlığı Buca, Konak, Torbalı, Bayındır ve Menemen ilçesinde bulunan 59 adet arsayı satışa çıkardı. Konut, Küçük sanayi sitesi ve ticari imarlı arsaların satışının gerçekleşeceği ihale 25-29 eylül tarihleri arasında gerçekleşecek.
İZMİR DEFTERDARLIĞI MİLLİ EMLAK DAİRE BAŞKANLIĞINDAN
TAŞINMAZ İHALE İLANI
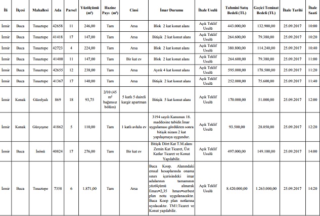
SATIŞ İHALESİ YAPILACAK TAŞINMAZLAR



1-Yukarıda TABLO-A’da belirtilen taşınmazların 2886 sayılı Kanunun 45. Maddesine göre satış, TABLO-B' de belirtilen taşınmazların 2886 sayılı kanunun 45. maddesine göre kiralama TABLO-C’de belirtilen taşınmazların 2886 sayılı Kanunun 51. maddesinin (g) bendine göre irtifak hakkı/ kullanma izni ihaleleri Hükümet Konağı C Blok Konak/İZMİR adresindeki İzmir Defterdarlığı binasının 1. Katında bulunan toplantı salonunda komisyon huzurunda belirtilen gün ve saatte yapılacaktır.
2-Satış, kiralama, irtifak hakkı ve kullanma izni ihalesi yapılacak taşınmazlara ilişkin şartname ve ekleri Defterdarlığımız ilgili Müdürlüklerinde ücretsiz olarak görülebilir.
3-İhaleye katılacak isteklilerin aşağıda belirtilen belgeleri ihale başlama saatine kadar İhale Komisyon Başkanlığına teslim etmeleri veya iadeli taahhütlü posta yoluyla ulaştırmaları gerekmekte olup, postada meydana gelecek gecikmeler kabul edilmeyecektir.
a) Yasal yerleşim yeri belgesi,
b) Tebligat için Türkiye’de adres gösterir belge (Adres beyanı),
c) Gerçek kişilerin T.C. Kimlik numarası, Tüzel kişilerin ise Vergi Kimlik numarası,
d) Geçici Teminata ilişkin belge (Geçici Teminat Makbuzu, Mevduat veya Katılım Bankalarının verecekleri 2886 sayılı Devlet İhale Kanununa göre düzenlenmiş ve İlgili Banka şubesince verilen teminat mektupları toplamı ile aynı şubenin limitlerinin de gösterildiği süresiz Teminat Mektubu, Devlet İç Borçlanma Senetleri veya bu senetler yerine düzenlenen belgeler)
e) Özel hukuk kişilerinin, yukarıda belirtilen şartlardan ayrı olarak, idare merkezlerinin bulunduğu yer mahkemesinden veya siciline kayıtlı bulunduğu ticaret sanayi odasından yahut benzeri meslek kuruluşundan, ihalenin yapıldığı yıl içinde alınmış sicil kayıt belgesi ile tüzel kişilik adına ihaleye katılacak veya teklifte bulunacak kişilerin özel kişiliği temsile tam yetkili olduklarını gösterir noterlikçe tasdik edilmiş imza sirkülerini veya vekaletnameyi vermeleri; kamu tüzel kişilerinin ise, yukarıdaki (b) ve (d) bentlerinde belirtilen şartlardan ayrı olarak tüzel kişili adına ihaleye katılacak veya teklifte bulunacak kişilerin tüzel kişiliği temsile yetkili olduğunu belirtir belge.
4-Taşınmazların satış bedeli, talep edilmesi halinde; 4706 sayılı Kanunun 5. maddesine göre taksitle de ödenebilir. Taksitle ödeme halinde , satış bedelinin en az dörtte biri peşin, kalanı en fazla 2 yılda ve 8 (sekiz)






HABERE YORUM KAT
Türkçe karakter kullanılmayan ve büyük harflerle yazılmış yorumlar onaylanmamaktadır.