
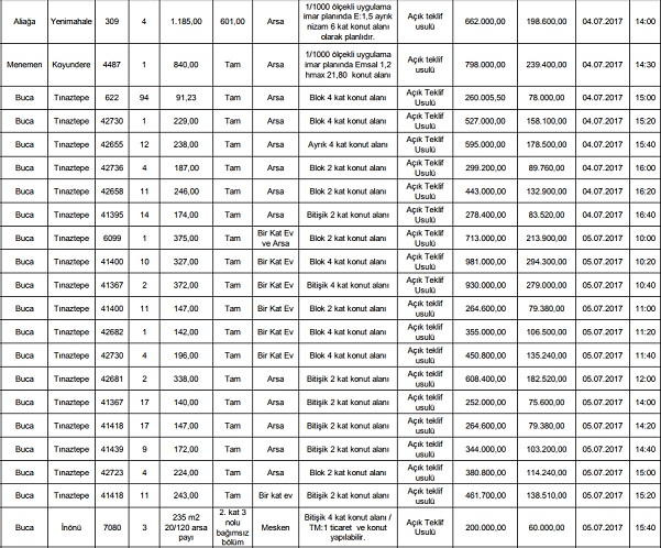
İzmir Defterdarlığı'ndan Satılık 30 Gayrimenkul
İzmir Defterdarlığı mülkiyetindeki 30 adet taşınmazı açık artırma usulüyle ihaleye çıkarıyor. Çoğu imarlı arsa olan taşınmazların ihale tarihi 4-5 temmuz olarak belirlendi. Satışa çıkan taşınmazlar Karşıyaka, Çiğli, Buca, Menemen, Bayraklı ve Aliağa ilçel
İzmir Defterdarlığı mülkiyetindeki 30 adet taşınmazı açık artırma usulüyle ihaleye çıkarıyor. Çoğu imarlı arsa olan taşınmazların ihale tarihi 4-5 temmuz olarak belirlendi. Satışa çıkan taşınmazlar Karşıyaka, Çiğli, Buca, Menemen, Bayraklı ve Aliağa ilçelerinde bulunuyor.
KARŞIYAKA AKSOY'DA 2 MİLYON 176 BİN TL'YE ARSA
Karşıyaka Aksoy mahallesi, Girne caddesi üzerinde bulunan 272 metrelik arsa dikkat çekiyor. 2 milyon 176 bin TL bedelle satışa çıkarılan arsanın 6 kat imar hakkı bulunuyor. Arsa, Karşıyaka sahili, vapur iskelesi ve çarşıya yürüme mesafesinde eşsiz bir lokasyonda yer alıyor.
İZMİR DEFTERDARLIĞI MİLLİ EMLAK DAİRE BAŞKANLIĞINDAN
TAŞINMAZ İHALE İLANI
SATIŞ İHALESİ YAPILACAK TAŞINMAZLAR



1-Tabloda belirtilen taşınmazların 2886 sayılı Kanunun 45. Maddesine göre satış ihaleleri Hükümet Konağı C Blok Konak/İZMİR adresindeki İzmir Defterdarlığı binasının 1. Katında bulunan toplantı salonunda komisyon huzurunda belirtilen gün ve saatte yapılacaktır.
2-Satış ihalesi yapılacak taşınmazlara ilişkin şartname ve ekleri Defterdarlığımız ilgili Müdürlüklerinde ücretsiz olarak görülebilir.
3-İhaleye katılacak isteklilerin aşağıda belirtilen belgeleri ihale başlama saatine kadar İhale Komisyon Başkanlığına teslim etmeleri veya iadeli taahhütlü posta yoluyla ulaştırmaları gerekmekte olup, postada meydana gelecek gecikmeler kabul edilmeyecektir.
a) Yasal yerleşim yeri belgesi,
b) Tebligat için Türkiye’de adres gösterir belge (Adres beyanı),
c) Gerçek kişilerin T.C. Kimlik numarası, Tüzel kişilerin ise Vergi Kimlik numarası,
d) Geçici Teminata ilişkin belge (Geçici Teminat Makbuzu, Mevduat veya Katılım Bankalarının verecekleri 2886 sayılı Devlet İhale Kanununa göre düzenlenmiş ve İlgili Banka şubesince verilen teminat mektupları toplamı ile aynı şubenin limitlerinin de gösterildiği süresiz Teminat Mektubu, Devlet İç Borçlanma Senetleri veya bu senetler yerine düzenlenen belgeler)
e) Özel hukuk kişilerinin, yukarıda belirtilen şartlardan ayrı olarak, idare merkezlerinin bulunduğu yer mahkemesinden veya siciline kayıtlı bulunduğu ticaret sanayi odasından yahut benzeri meslek kuruluşundan, ihalenin yapıldığı yıl içinde alınmış sicil kayıt belgesi ile tüzel kişilik adına ihaleye katılacak veya teklifte bulunacak kişilerin özel kişiliği temsile tam yetkili olduklarını gösterir noterlikçe tasdik edilmiş imza sirkülerini veya vekaletnameyi vermeleri; kamu tüzel kişilerinin ise, yukarıdaki (b) ve (d) bentlerinde belirtilen şartlardan ayrı olarak tüzel kişili adına ihaleye katılacak veya teklifte bulunacak kişilerin tüzel kişiliği temsile yetkili olduğunu belirtir belge.
4-Taşınmazların satış bedeli, talep edilmesi halinde; 4706 sayılı Kanunun 5. maddesine göre taksitle de ödenebilir. Taksitle ödeme halinde , satış bedelinin en az dörtte biri peşin, kalanı en fazla 2 yılda ve 8 (sekiz) eşit taksitte kanuni faizi ile birlikte ödenir. 4706 sayılı Kanun uyarınca Hazineye ait taşınmazların satış ihale bedelleri, KDV ile diğer vergi, resim ve harçlardan müstesnadır. Ayrıca, satışı yapılan taşınmaz 5 yıl süre ile emlak vergisinden muaftır.
5-Komisyon ihaleyi yapıp yapmamakta serbesttir. 6-Bu ihaleye ilişkin bilgiler www.izmirdefterdarligi.gov.tr adresinden öğrenilebileceği gibi, Türkiye genelindeki ihale bilgileri www.milliemlak.gov.tr adresinden de öğrenilebilir.






HABERE YORUM KAT
Türkçe karakter kullanılmayan ve büyük harflerle yazılmış yorumlar onaylanmamaktadır.