
Dikili’de 49 Milyon TL'ye Satılık 18 Arsa
İzmir’in Dikili ilçesinde 18 taşınmaz, toplam 48.907.000 TL Bedelle satışa çıkarılıyor. Taşınmazların satış ihalesi 11 Temmuz Perşembe günü gerçekleştirilecek
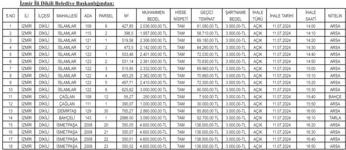
Resmi Gazete’de yer alan ilana göre İzmir’in Dikili ilçesinde içerisinde arsa ve tarla olan 18 adet taşınmaz, toplam 48.907.000 TL bedelle satışa çıkarılıyor. Taşınmazların satış ihalesinin Temmuz Perşembe günü gerçekleştirileceği açıklandı.
İLANIN DETAYLARI

1- Yukarıda niteliği tahmini bedeli geçici teminatı ve ihale tarih, saati belirtilen taşınmazların satış ihalesi; 2886 sayılı Devlet İhale Kanununun 45. maddesine göre açık teklif (arttırma) usulü ile Cumhuriyet Mah. 304 Sokak No: 6 Mustafa Kemal Atatürk Kültür Merkezinde bulunan Çok Amaçlı Salonda Encümen huzurunda şartname gereğince yapılacaktır.
2- Muhammen bedeller yukarıdaki cetvelde gösterilmiştir.
3- İhaleye Katılacaklardan İstenen Belgeler;
A-Gerçek Kişilerden;
a-) Taşınmaz Mal Satış Şartnamesi (Şartnamenin her sayfası ayrı ayrı ihaleye iştirak eden tarafından imzalanmak zorundadır.)
b-) Geçici Teminat Bedeli Makbuzu
c-) Nüfus Cüzdanı Sureti (e-Devlet)
d-) Kanuni tebligat adresi (muhtarlık-e-Devlet)
e-) Vekâleten katılıyor ise onaylı vekaletname (Noterden)
f-) Dikili Belediyesinden alınacak borcu yoktur belgesi
g-) Vergi Dairesinden alınacak vergi borcu yoktur belgesi
h-) İhale Doküman Bedeli Makbuzu
B-Tüzel Kişilerden;
a-) Taşınmaz Mal Satış Şartnamesi (Şartnamenin her sayfası ayrı ayrı ihaleye iştirak eden tarafından imzalanmak zorundadır.)
b-) Geçici Teminat Bedeli Makbuzu
c-) İmza Sirküsü (Noterden)
d-) Kanuni tebligat adresi / Elektronik tebligat adresi
e-) Vekaleten katılıyor ise onaylı vekaletname (Noterden)
f-) Dikili Belediyesinden alınacak borcu yoktur belgesi
g-) Vergi Dairesinden alınacak vergi borcu yoktur belgesi
h-) İhale Doküman Bedeli Makbuzu
ı-) Mevzuatı gereği tüzel kişiliğin siciline kayıtlı bulunduğu Ticaret, Sanayi, Esnaf Odasından veya benzeri bir makamdan ihalenin yapılmış olduğu yıl içerisinde alınmış tüzel kişiliğin siciline kayıtlı olduğuna dair belge (Tescil Belgesi)
4- İhalesi gerçekleştirilecek taşınmazların imar Durumları, şerh ve takyidatları taşınmaz ihale şartnamesinde belirtilmiştir.
5- Geçici teminat bedelleri Dikili Halk Bankası TR64 0001 2009 7220 0007 0000 06 Dikili Belediyesi ‘İhale Teminat Hesabına' yatırılacaktır.
6- Şartname 3.000 TL karşılığında İhale tarihinden 1 gün önceki günün mesai bitimine kadar Emlak ve İstimlak Müdürlüğünden temin edilecektir.
7- İhaleye katılabilmek için; 8/9/1983 tarihli ve 2886 sayılı Devlet İhale Kanunu ve Hazine Taşınmazlarının İdaresi Hakkında Yönetmelikte
belirtilen niteliklere haiz olmak ve anılan Kanun ve Yönetmelikte açıklanan biçimde teklifte bulunmak, geçici teminatı yatırmak şarttır.
8- İhale bedeli şartnamesindeki süre içinde ödenecektir, süresi içinde ödenmediği takdirde geçici teminat Belediyemize irat kaydedilir.
9- İhale için talipli gelmediği taktirde 18.07.2024 tarihinde aynı saat ve yerde, aynı şartname ile yapılacaktır.
10- İstekliler Şartnamelerdeki yazılı belgeleri eksiksiz olarak sunmak zorundadırlar.
11- İhale ile ilgili olarak her türlü vergi, resim harçları ve diğer giderleri ödemek, istekliye aittir satışa ilişkin her türlü vergi, resim harç ve diğer giderleri ödemek istekliye aittir.
12- Taşınmazın fuzuli işgal altında bulunması halinde; Belediyeye, fuzuli şagili bu taşınmazdan tahliye için hiçbir sorumluluk yüklenmez ve alıcı bunu belediyeden isteyemez.
13- Encümen Komisyonu ihaleyi yapıp yapmamakta serbesttir.
İlan Olunur.






HABERE YORUM KAT
Türkçe karakter kullanılmayan ve büyük harflerle yazılmış yorumlar onaylanmamaktadır.