
Denizli’de 25 Adet Ticari Taşınmaz 38 Milyon TL’ye Satışa Çıkarılıyor
Denizli’nin Kale ilçesinde; içerisinde işyeri ve arsa olan 25 adet ticari nitelikteki taşınmaz toplam 38.274.300 TL’ye satışa çıkarılıyor. İhale 28 Kasım Perşembe günü gerçekleştirilecek
Denizli’nin Kale ilçesinde içerisinde işyeri ve arsa olan 25 adet ticari nitelikteki taşınmaz toplam 38.274.300 TL’ye satışa çıkarılıyor. İhale 28 Kasım Perşembe günü gerçekleştirilecek.
İHALE İLANININ DETAYLARI
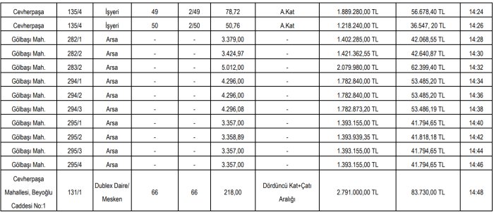
1-) Mülkiyeti Belediyemize ait Cevherpaşa Mahallesi, Mehmetçik Caddesi, No: 2 adresinde 135 ada 4 parselde kayıtlı 888,73 m2 yüzölçümlü taşınmaz üzerinde bulunan 14 adet taşınmaz/işyeri, Gölbaşı Mah. 282 ada 1 ve 2 parseller, 283 ada 2 parsel, 294 ada 1, 2 ve 3 parseller, 295 ada 1, 2, 3 ve 4
parseller ile Cevherpaşa Mahallesi, Beyoğlu Caddesi No:1 adresinde yer alan İşmerkezi ve Konut Merkezinde bulunan 66 nolu bağımsız bölümün 2886 sayılı Devlet İhale Kanununun 45. maddesi gereğince açık teklif usulü satılmak üzere Belediyemizce ihaleye çıkarılmıştır.
2-) Satış ihalesi, 28.11.2024 Perşembe günü aşağıda listede belirtilen saatlerde Belediye Meclis Toplantı Salonunda yapılacaktır.
3-) Satılacak olan taşınmazların tapu bilgileri, muhammen bedeli, geçici teminatları ve ihale saatleri:


4-) İhaleye katılabilmek için 2886 sayılı Kanunun ilgili maddelerince usulüne göre;
İhaleye katılacak gerçek ve tüzel kişilerde aşağıdaki şartlar aranır.
A. İstekli gerçek kişi ise:
a. Türkiye Cumhuriyeti vatandaşı olmak,
b. Nüfus cüzdan sureti (kimlik fotokopisi),
c. İkametgâh Belgesi,
d. Vekâleten katılım halinde noter tasdikli vekâletname ile vekilin noter onaylı imza beyannamesi.
e. Geçici teminat mektubu veya makbuzunun aslı,
f. Belediyemize borcu olmadığına dair Kale Belediyesi Mali Hizmetler Müdürlüğünden alınmış belge,
g. Ortak Girişim olması halinde Noter tasdikli Ortak Girişim Beyannamesi; iş ortaklığı oluşturacak gerçek ve tüzel kişilerin her biri tarafından ilgilisine göre (Geçici Teminat makbuzu hariç) istenilen belgelerin ayrı ayrı verilmesi zorunludur.
B. İstekli tüzel kişilik ise
a. Tüzel Kişiliğin siciline kayıtlı bulunduğu yer mahkemesinden veya Ticaret veya Sanayi Odasından alınmış Tüzel Kişiliğin odaya kayıtlı olduğunu gösterir belge,
b. İhaleye giren kişinin tüzel kişiliği temsile ve ihaleye katılma yetkisine sahip olduğuna ilişkin belge, vekâletname, nüfus cüzdan fotokopisi ve imza sirküleri,
c. Tüzel Kişiliği temsilen ihaleye Katılan yetkilinin Noter Tasdikli İmza Sirküleri,
d. Türkiye de tebligat için adres göstermesi ve ayrıca irtibat için telefon ve varsa fax numarası ile elektronik posta adresi,
e. Geçici teminatın yatırıldığına dair makbuz veya teminat mektubu,
f. Belediyemize borcu olmadığına dair Kale Belediyesi Mali Hizmetler Müdürlüğünden alınmış belge,
5- 2886 sayılı Devlet İhale Kanununun 6. Maddesinde belirtilen kişiler doğrudan veya dolaylı olarak ihaleye katılamazlar.
6- Şartnamesi her gün mesai saatleri içinde Belediyemiz Yazı İşleri Müdürlüğünde görülebilir.
7- Telgraf, faks ve posta ile yapılan müracaatlar kabul edilmeyecektir.
8 - İhale Komisyonu sıfatıyla hareket eden Belediye Encümeni uygun bedeli tespitte ve ihaleyi yapıp yapmamakta serbesttir.
9- İstenilen belgeler, plastik dosya içerisinde istenilen sıraya göre dizilerek ihale günü saat 13.45’e kadar Belediyemiz Yazı İşleri Müdürlüğüne teslim edilecektir. Bu tarih ve saatten sonra yapılacak başvurular kabul edilmeyecektir.
10- İş bu ihale ilanı genel bilgi mahiyetinde olup, taşınmazların satışında şartname hükümleri uygulanacaktır.
11- Taliplilerin belirtilen gün ve yerde hazır bulunmaları ilan olunur.






HABERE YORUM KAT
Türkçe karakter kullanılmayan ve büyük harflerle yazılmış yorumlar onaylanmamaktadır.