
İzmir'de 298 Kamu Konutu Satışa Çıktı! Fiyatlar 100 Bin TL'den Başlıyor
Çevre ve Şehircilik Bakanlığı'nın kamu konutlarının uygun fiyatlarla satışa çıkaracaklarını duyurmasının ardından İzmir'de ilk satış işlemleri başladı. İzmir'de kamuya ait 297 konut ve 1 mağaza açık artırmayla satışa sunuldu.
Çevre ve Şehircilik İzmir İl Müdürlüğü; Konak, Karşıyaka, Karabağlar, Bayraklı, Buca ve Aliağa'daki 297 konut ve 1 adet mağazayı satışa çıkardı. Satışa çıkarılan taşınmazların fiyatları 100 bin TL ile 1 milyon 400 bin TL arasında değişiyor.
Satışa çıkarılan konutların ihaleleri 26 aralık ve 6 ocak tarihleri arasında gerçekleşecek.
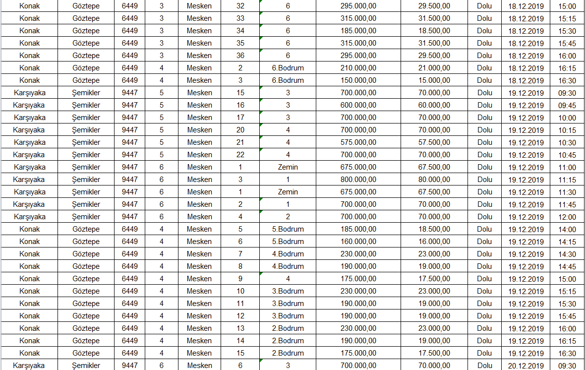
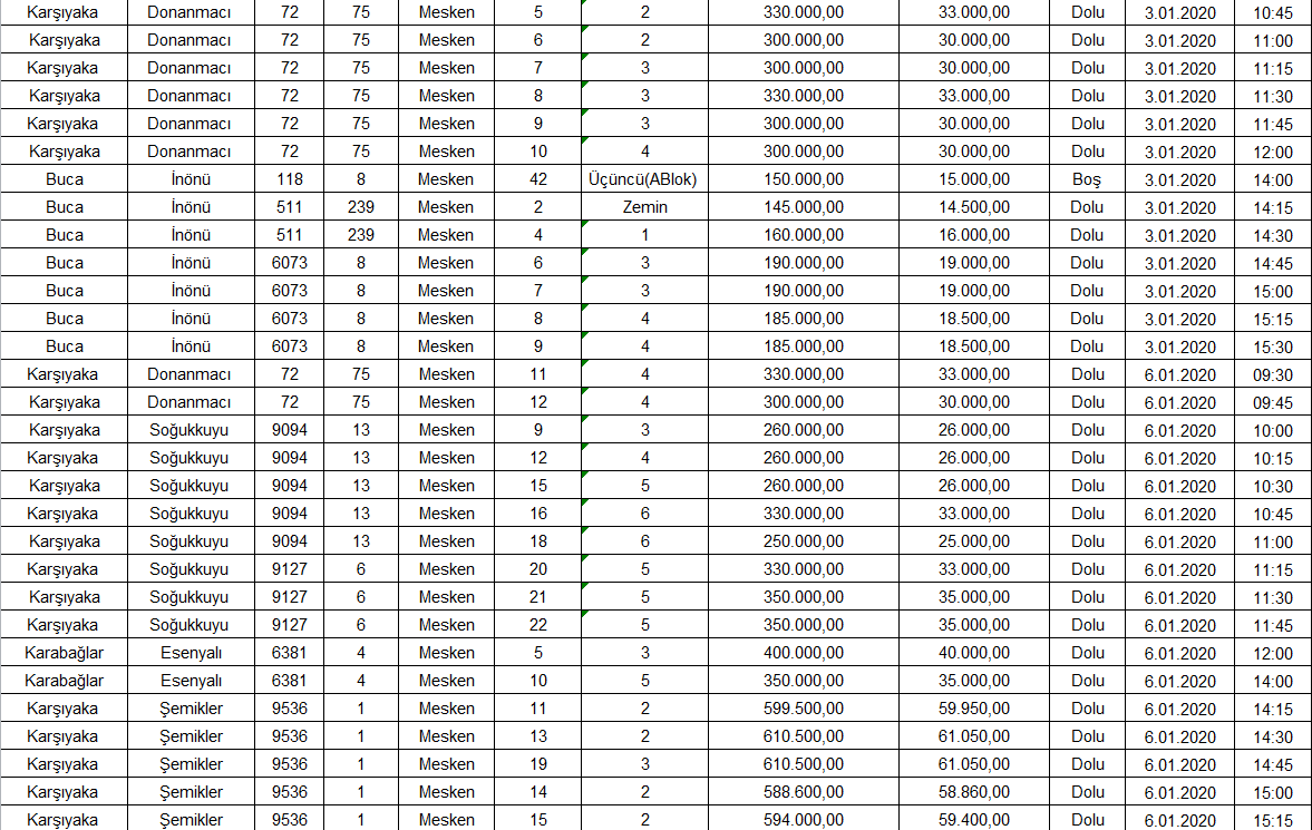
İşte satışa çıkarılan konutların tam listesi...










Yukarıdaki tabloda belirtilen taşınmazların 2886 sayılı kanunun 45. maddesine göre satış ihaleleri Çevre ve Şehircilik İl Müdürlüğü Ek Binası Anadolu Caddesi 41/2 Bayraklı/İZMİR adresindeki binasının giriş katında bulunan ihale salonunda komisyon huzurunda belirtilen gün ve saatte yapılacaktır. 2- Satış ihaleleri yapılacak taşınmazlara ilişkin şartname ve ekleri taşınmazın bulunduğu ilçenin bağlı olduğu Konak ve Karşıyaka Emlak Müdürlüklerinde ücretsiz olarak görülebilir. 3- İhaleye katılacak isteklilerin aşağıda belirtilen belgeleri ihale başlama saatine kadar İhale Komisyon Başkanlığına teslim etmeleri veya iadeli taahhütlü posta yoluyla ulaştırmaları gerekmekte olup, posta ile yapılacak müracatlarda teklifin 2886 D.İ.K 37 inci maddesine uygun olarak hazırlanması ve teklifin ihale saatinden önce komisyona ulaşması şarttır, postada meydana gelecek gecikmeler kabul edilmeyecektir. a) Yasal yerleşim yeri belgesi, b) Tebligat için Türkiye'de adres gösterir belge (Adres beyanı), c) Gerçek Kişilerin T.C. Kimlik numarası, Tüzel Kişilerin ise Vergi Kimlik numarası, d) Geçici Teminata ilişkin belge (Geçici Teminat Makbuzu, Mevduat veya Katılım Bankalarının verecekleri 2886 sayılı Devlet İhale Kanununa göre düzenlenmiş ve İlgili Banka şubesince verilen teminat mektupları toplamı ile aynı şubenin limitlerinin de gösterildiği süresiz Teminat Mektubu, Devlet İç Borçlanma Senetleri veya bu senetler yerine düzenlenen belgeler), e) Özel hukuk tüzel kişilerinin, yukarıda belirtilen şartlardan ayrı olarak, idare merkezlerinin bulunduğu yer mahkemesinden veya siciline kayıtlı bulunduğu ticaret veya sanayi odasından yahut benzeri meslekî kuruluştan, ihalenin yapıldığı yıl içinde alınmış sicil kayıt belgesi ile tüzel kişilik adına ihaleye katılacak veya teklifte bulunacak kişilerin tüzel kişiliği temsile tam yetkili olduklarını gösterir noterlikçe tasdik edilmiş imza sirkülerini veya vekâletnameyi vermeleri; kamu tüzel kişilerinin ise, yukarıdaki (b) ve (d) bentlerinde belirtilen şartlardan ayrı olarak tüzel kişilik adına ihaleye katılacak veya teklifte bulunacak kişilerin tüzel kişiliği temsile yetkili olduğunu belirtir belge. 4-4706 sayılı Kanunun 7 nci maddesinin dördüncü fıkrası ile 3065 sayılı Katma Değer Vergisi Kanununun 17 nci maddesinin dördüncü fıkrasının (p) bendi gereğince, mülkiyeti Hazineye ait kamu konutlarının satış ve devir işlemleri ve bu işlemler sırasında düzenlenen belgeler, vergi, resim ve harçtan müstesnadır. Satışı yapılan kamu konutu, satış tarihini takip eden yıldan itibaren beş yıl süre ile emlak vergisine tâbi tutulmaz. 5- (1) Kat mülkiyeti veya kat irtifakı kurulan kamu konutlarından ihalenin yapıldığı tarihte; adlarına görev, sıra ve hizmet tahsisli kamu konutu tahsis edilen (şartlı tahsisler dahil) ve fiilen konutta oturanlar öncelikli alım hakkına sahiptir.
(2) Öncelikli alım hakkı sahibinin kamu konutunu satın almak istemediğini bildirmesi, süresi içerisinde herhangi bir bildirimde bulunmaması ya da yükümlülüklerini yerine getirmemesi halinde, en yüksek teklifi veren istekli tarafından satış bedeli peşin veya Kanunun 5 inci maddesinin birinci fıkrasında belirtilen şekilde en az dörtte biri peşin, kalanı en fazla iki yılda ve taksitlerle kanunî faizi ile birlikte ödenebilir.
(3) Öncelikli alım hakkı sahibinin; kamu konutunu satın almak istemesi ve süresi içerisinde satış bedelini peşin olarak ödemesi veya peşinatı ödeyerek Taksitli Satış Sözleşmesini imzalaması halinde bu durum İhalede en yüksek teklifi veren isteklisine bildirilir.
(4) Bedelin yetkili kredi kuruluşlarından kredi temin edilerek ödenmek istenilmesi halinde, alıcı tarafından kredi kuruluşu ile yapılan kredi sözleşmesi veya kredi açıldığına dair kredi kuruluşunun resmî yazısı verilir ve kredi kuruluşu tarafından bedel ilgili muhasebe biriminde açılacak emanet hesabına aktarılması halinde İdarece, tapu müdürlüklerine kredi kuruluşu lehine ipotek tesis edilmesi ve alıcı adına tescil işleminin yapılması hususu yazıyla bildirilir. 6- Listedeki DOLU olarak belirtilen bağımsız bölümlerde ön alım hakkına sahip fiilen oturanlar bulunmakta olup, detaylı bilgi ilgili Müdürlüklerden alınabilir. 7- Komisyon ihaleyi yapıp yapmamakta serbesttir. 8- Bu ihaleye ilişkin bilgiler www.izmir.csb.gov.tr. adresinden öğrenilebileceği gibi,Türkiye genelindeki ihale bilgileri www.milliemlak.gov.tr adresinden de öğrenilebilir.
BİLGİ İÇİN İLETİŞİM TELEFONU : (232) 341 68






HABERE YORUM KAT
Türkçe karakter kullanılmayan ve büyük harflerle yazılmış yorumlar onaylanmamaktadır.